아르기닌의 효능 부작용
아르기닌은 단백질을 구성하는 아미노산 중에서도 체내에서 다양한 생리 작용을 담당하는 중요한 성분으로, 건강 보조제나 운동 보충제로 널리 알려져 있습니다. 특히 아르기닌의 효능 부작용은 많은 사람들이 궁금해하는 주제 중 하나입니다. 혈관을 확장해 혈류를 개선하고 피로를 회복시키는 효과로 ‘스태미나 아미노산’이라 불리며, 성장호르몬 분비 촉진과 면역력 강화에도 긍정적인 영향을 미칩니다. 남성 건강과 운동 수행능력 향상에 도움을 주는 것으로 잘 알려져 있지만, 과도한 섭취 시 복통이나 저혈압, 구토 등의 부작용이 발생할 수 있습니다. 따라서 자신의 건강 상태와 목적에 맞게 섭취량을 조절하는 것이 중요합니다.

이번 글에서는 아르기닌의 생리학적 특징과 대표적인 효능, 그리고 주의해야 할 부작용까지 상세히 살펴보겠습니다.
아르기닌이란 무엇인가
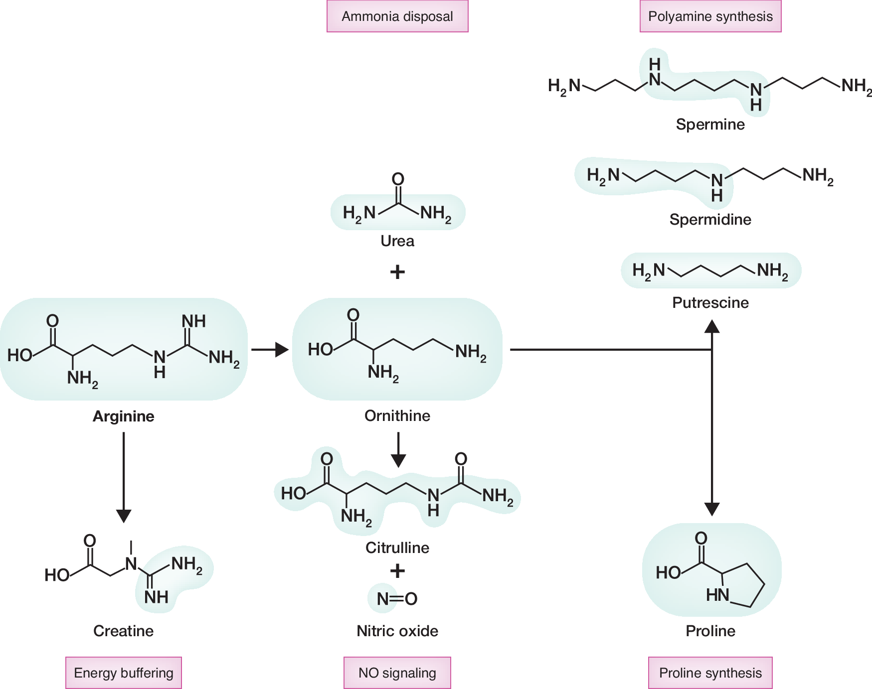
아르기닌(Arginine)은 인체에 꼭 필요한 준필수 아미노산(Conditionally Essential Amino Acid)으로, 단백질을 구성하는 20가지 아미노산 중 하나입니다. ‘준필수’라는 표현은 우리 몸이 어느 정도 합성할 수 있지만, 성장기, 노화, 질병, 스트레스, 피로 등 특정 상황에서는 외부 섭취가 필요하다는 뜻입니다.

아르기닌은 체내에서 단백질 합성뿐만 아니라 질소 산화물(Nitric Oxide, NO) 생성, 혈관 확장, 면역력 강화, 호르몬 분비 조절 등 다양한 생리적 기능을 담당하며 ‘젊음의 아미노산’, ‘스태미나 아미노산’으로 불리기도 합니다. 특히 남성 건강과 피로 회복, 혈류 개선, 성장 호르몬 분비 촉진과 관련해 많은 연구가 이루어졌습니다.
주요 아르기닌의 효능
1. 혈관 확장 및 혈류 개선 효과
아르기닌은 질산화 효소(Endothelial Nitric Oxide Synthase)의 작용으로 질산화물(NO)을 생성합니다. 이 질산화물은 혈관 평활근을 이완시켜 혈관을 확장시키고, 혈류를 원활하게 만드는 역할을 합니다. 결과적으로 혈압을 안정시키고 말초 혈류를 개선하여 손발 저림, 냉증, 만성 피로 등의 증상을 완화하는 데 도움이 됩니다. 또한 심혈관 질환 위험을 낮추는 데 긍정적인 영향을 미칠 수 있으며, 동맥경화 예방에도 기여할 수 있습니다.


2. 피로 회복 및 에너지 대사 촉진
아르기닌은 체내 요소 회로(Urea Cycle)의 핵심 아미노산으로, 암모니아를 요소로 전환시켜 체외로 배출하는 역할을 합니다. 운동 후 근육 내에 쌓이는 암모니아는 피로의 원인 중 하나인데, 아르기닌은 이를 해독하여 피로 회복 속도를 높여주는 효과가 있습니다. 또한 ATP(아데노신 삼인산) 생산 과정에도 관여하여 에너지 대사를 활성화시킵니다. 그 덕분에 운동 전후 보충제로 섭취하면 체력 유지와 운동 퍼포먼스 향상에 도움이 됩니다.

3. 성장호르몬 분비 촉진
아르기닌은 뇌하수체에 작용하여 성장호르몬(Growth Hormone)의 분비를 자극합니다. 성장호르몬은 근육의 합성, 지방 분해, 세포 재생 등 다양한 대사 활동에 관여하므로, 아르기닌 섭취는 근육량 유지와 체지방 감소, 피부 탄력 유지, 노화 방지에 도움을 줄 수 있습니다. 실제로 성장기 청소년의 성장 지원이나 성인의 노화 예방 목적의 영양 보충제에 아르기닌이 포함되는 이유가 여기에 있습니다.

4. 면역력 강화 및 상처 치유 촉진
아르기닌은 백혈구 기능을 활성화시켜 면역 반응을 강화하고, 콜라겐 합성을 촉진하여 조직 재생과 상처 회복을 돕습니다. 수술 후 회복기나 외상 치료 중인 환자에게 아르기닌을 보충하면 면역 저하를 예방하고 조직 회복 속도를 높이는 효과가 있다는 임상 보고도 있습니다. 특히 화상 환자나 수술 후 환자의 영양 지원식에는 아르기닌이 자주 포함됩니다.


5. 남성 기능 개선 및 정자 건강
아르기닌은 남성의 생식 건강에도 깊게 관여합니다. 혈관 확장 효과로 발기부전(ED) 개선에 도움을 주며, 이는 실데나필(비아그라) 등 약물과 유사한 작용 기전으로 알려져 있습니다. 또한 정액의 주요 구성 성분 중 하나로, 정자의 운동성 향상과 생성량 증가에 긍정적인 영향을 미칩니다. 이런 이유로 일부 남성 영양제에는 아르기닌과 함께 아연, 타우린, 비타민 B군이 병합되어 포함되기도 합니다.



6. 간 해독 및 암모니아 제거 기능
간은 체내 독소를 해독하고 단백질 대사를 조절하는 기관인데, 아르기닌은 요소회로의 핵심 구성원으로 암모니아를 요소로 바꿔 배출합니다. 암모니아가 쌓이면 간에 부담을 주고 피로를 유발하기 때문에, 아르기닌 섭취는 간 해독 기능을 도와 간 건강 유지와 피로 개선에 기여합니다. 특히 음주 후 숙취 해소용 제품에 아르기닌이 포함되는 이유도 이 작용 덕분입니다.
7. 운동 수행능력 향상 및 근육 성장
운동 중 근육에 산소와 영양소를 공급하는 혈류량이 중요합니다. 아르기닌은 혈류를 개선해 근육 내 영양 공급을 증가시키며, 단백질 합성률을 높여 근육 성장과 근력 향상을 돕습니다. 또한 젖산 축적을 억제하여 운동 후 피로감을 줄이고, 회복 시간을 단축시킵니다. 실제로 많은 운동선수나 헬스 트레이너가 프리워크아웃(Pre-workout) 보충제로 아르기닌을 섭취합니다.
8. 노화 방지 및 항산화 작용
아르기닌은 체내에서 생성된 질산화물이 혈류를 개선하는 동시에, 활성산소(ROS)를 억제하는 항산화 작용을 합니다. 혈관 내피세포를 보호하고 산화 스트레스를 완화함으로써 세포 노화 지연에 기여합니다. 또한 성장호르몬 분비 촉진과 결합되어 피부 탄력 유지, 주름 완화 등 미용적인 측면에서도 긍정적 효과가 보고됩니다.
9. 여성 건강 및 다이어트 효과
아르기닌은 남성뿐 아니라 여성에게도 유익합니다. 혈류 개선으로 생리통 완화, 냉증 개선, 피부 혈색 개선 효과가 있으며, 성장호르몬 자극을 통한 기초대사량 증가로 체지방 감량에 도움을 줄 수 있습니다. 다만 체중 감량 효과는 직접적이라기보다 대사 활성화와 에너지 효율 개선에 따른 보조적 효과로 보는 것이 정확합니다.



10. 뇌 기능 및 스트레스 완화
아르기닌은 뇌 신경세포의 혈류를 개선하고, 세로토닌 및 도파민 분비 조절을 통해 스트레스와 불안을 완화하는 데 도움을 줄 수 있습니다. 일부 연구에서는 아르기닌이 인지 기능 개선과 집중력 향상에 긍정적인 영향을 준다고 보고하고 있습니다. 특히 수면 중 성장호르몬 분비를 촉진하여 숙면 유도에도 도움을 줍니다.
아르기닌의 부작용 및 주의사항
아르기닌은 대부분의 사람에게 안전하지만, 과다 섭취 시 복통, 설사, 구토, 저혈압 등의 부작용이 나타날 수 있습니다. 또한 저혈압 환자, 심혈관 질환 약 복용자, 신장 질환자, 임산부는 섭취 전 전문의와 상담하는 것이 좋습니다. 하루 권장량은 일반 성인의 경우 3g~6g, 운동선수나 피로 회복 목적이라면 하루 6g~9g까지 섭취하는 것이 일반적입니다. 섭취 시기는 운동 30분 전 또는 취침 전이 효과적입니다. 다만 공복 섭취 시 속이 불편할 수 있으므로 물과 함께 복용하는 것이 좋습니다.


아르기닌이 풍부한 음식
아르기닌은 식품에서도 다양하게 섭취할 수 있습니다. 대표적인 함유 식품은 다음과 같습니다.


- 견과류: 호두, 아몬드, 땅콩, 피스타치오 등
- 해산물: 오징어, 새우, 연어, 참치 등
- 육류: 닭가슴살, 소고기, 돼지고기
- 식물성 단백질: 두부, 검정콩, 렌틸콩
- 곡류: 현미, 귀리, 통밀
이러한 식품을 균형 있게 섭취하면, 보충제 없이도 일정량의 아르기닌을 자연적으로 공급받을 수 있습니다.

결론

아르기닌은 단순한 아미노산 이상의 역할을 합니다. 혈관 건강을 지키고 피로를 회복시키며, 성장호르몬과 면역기능, 간 해독, 남성 기능까지 전신에 걸쳐 긍정적인 영향을 미칩니다. 하지만 모든 영양소가 그렇듯 과용은 금물입니다. 자신의 건강 상태와 목적에 맞춰 적정량을 섭취하는 것이 중요하며, 균형 잡힌 식단과 규칙적인 생활습관이 병행될 때 그 효능이 극대화됩니다. 활력 있고 건강한 일상을 원한다면, 오늘부터 아르기닌이 풍부한 식품이나 보충제를 현명하게 활용해 보시기 바랍니다.

'건강정보' 카테고리의 다른 글
| 막걸리 안주 베스트 홍어 먹는법, 인천 연안부두 어시장 삭힌 홍어 효능 (0) | 2025.11.11 |
|---|---|
| 혈압약 부작용 (0) | 2025.11.05 |
| HDL콜레스테롤 이란 뭘까? (0) | 2025.11.03 |
| 위내시경 조직검사 하는 이유 (0) | 2025.10.17 |
| 뇌 mri 검사 비용, 시간, 금식 (0) | 2025.10.15 |